您当前的位置:新闻>科技
近日,中国科学院合肥物质院强磁场中心低功耗量子材料团队联合中国科学技术大学、南方科技大学团队,依托稳态强磁场实验装置所属水冷磁体WM5,利用强磁场在弱拓扑绝缘体中成功构建出理想一维外尔半金属相,并观测到由该相特有热电转换机制导致的巨大能斯特平台。相关研究成果《Observation of Giant Nernst Plateau in Ideal 1D Weyl Phase》发表于美国物理学会期刊Physical Review Letters上。

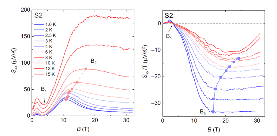
图1. 弱拓扑绝缘体HfTe5强磁场下塞贝克效应和能斯特效应的测量结果
反常能斯特效应是一类典型的横向热电效应,其能斯特信号会在磁场下形成平台。理论研究表明,源于自旋轨道耦合布洛赫电子能带的大贝里曲率能够产生显著的反常能斯特效应。基于这一机制,人们已在三维磁性外尔半金属中观测到显著的能斯特平台。尽管取得这些进展,能斯特平台的幅度仍然比纵向热电效应弱多个数量级。因此,探索能够显著提升能斯特平台幅度的新型热电转换机制具有重要意义。

图2. 理想一维外尔态中的巨大能斯特平台
该研究团队另辟蹊径,在强磁场条件下发现了一种全新的热电转换机制。通过对弱拓扑绝缘体五碲化铪(HfTe₅)在0–33 T强磁场下的塞贝克效应和能斯特效应进行系统测量,研究团队直接观测到两个磁场诱导的相变:在B₁ = 1.45 T处,能斯特信号发生符号反转,标志着第零朗道能级发生能隙闭合转变;随着磁场增强,塞贝克系数在B₂ = 11 T处出现峰值,表明第零朗道能级发生拓扑Lifshitz转变。这两次相变过程与弱拓扑绝缘体在强磁场下的理论相图高度吻合。当磁场进一步增大至B₃ = 20 T以上时,HfTe₅进入由第零朗道能级构成的理想一维外尔半金属相。值得注意的是,在该相中,能斯特信号表现出与磁场无关的特性,形成一个稳定的巨大能斯特平台,其幅值在2 K低温下高达50 μV/K,远超以往报道的所有反常能斯特效应数值。理论分析进一步揭示,该巨大能斯特平台源于理想一维外尔相特有的热电转换机制:横向热电效应主要由纵向电阻主导,而非传统机制中的横向电阻。这一发现不仅拓展了对外尔费米子的认知,也为显著提升热电转换效率开辟了新路径。
强磁场科学中心硕士张勇和蔡佳强为论文共同第一作者;张警蕾研究员、田明亮研究员、中国科学技术大学赵鹏露副研究员及南方科技大学卢海舟教授为共同通讯作者。该项研究得到了国家重点研发计划、国家自然科学基金、中国科学院建制化科研平台等项目的支持。